在显示领域的应用方面,激光技术发展至今,散斑问题竟成最大拦路虎。其严重影响显示画面的最终效果,导致激光技术优势不能有效发挥并投入使用。
散斑是什么原因造成的?有无解决办法?对人的眼睛伤害有多大?麻d国产传媒大象ALPD激光技术如何从源头上抑制散斑?本文将一一剖析。
【散斑是什么】
由激光光束发出的光,经粗糙表面反射或透射后会形成无数独立的散射子波,这些子波在空间传播过程中相干叠加,会在空间形成随机无规则分布的亮斑和暗斑,或通过成像系统在像平面形成干涉图样,这样的干涉图样即称为散斑。

杨氏双缝干涉原理示意图
上图就是著名的杨氏双缝干涉原理示意图,我们可以看到,最右边出现规范不一致的亮斑和暗斑,就是散斑现象。由于干涉图像是明暗相间的条纹,所以最终无穷个干涉图像在人眼视网膜上叠加形成的图像,相当于是在清晰图像前加了一个雾化的透明玻璃而生成的图像,极大影响画质和观影体验。由于人眼看起来,仿佛被隔了一层磨砂玻璃(如下图),因此散斑现象也称“毛玻璃”现象。

你可能看到的散斑画面
【为什么会产生散斑】
激光,是目前人类可以实现的最亮的人造光源,从被用作照明光源而逐渐进入人们的视野。激光具有单色性、相干性和方向性三大特点,相比于传统的灯泡、氙灯等光源,激光的亮度更高、能效更高、色彩单色性好、结构尺寸小、寿命长,因有望成为照明显示的理想光源而备受关注。
相干性,是指可以发生光线干涉现象的两个不同光源。光的稳定干涉是需要相干光才能实现的。现代物理光学指出,只有两列光波的频率相同、相位差恒定、振动方向一致的相干光源,才能产生光的干涉。激光是在同一相干辐射场感生下产生的受激发射光,所以激光的相干性很好,这是激光的物理属性。
对于普通的光源,若想产生相干性,是如何实现的呢?简单来说,就是通过光学装置将同一个光源发出的源波分为若干个子波,它们具有相同的频率、相位差和偏振方向,从而可以产生干涉现象。这里,想强调的是:普通的光源想要产生光学干涉,是没那么容易的。
目前常见的相干光源只有激光,所以在没有特指的情况下,散斑一般指的就是激光散斑。
在显示领域,相干性为激光带来了传输中的高稳定性,体现在画面上为高光效、高亮度、高色域,但也带来了散斑问题。
形成散斑,需要满足两个条件:第一个是相干光,即能产生稳定干涉现象的光源(激光);第二个是平均起伏大于波长数量级的光学粗糙表面,日常生活中的墙壁、纸张、电影屏幕等均属于光学粗糙表面。从下图对比我们可以看到,散斑问题严重影响显示画质(a为散斑画面,b为低散斑画面)。
在激光显示领域,散斑一直是困扰三色激光显示技术架构的一个难以克服的困难,也是激光显示界数年至今持续研究的重要课题。
【传统有哪些解决办法】
消除散斑一般有两种思路,一种是从源头消除,在光出来之前就将有散斑的光转化成无散斑的光,这种方式需要较高的技术门槛,目前只有光峰ALPD激光技术可以做到;另一种是后期处理,在光出来之后,将不相关的多个散斑在空间或时间域里叠加,通过降低对比度来消除,也就是行业人常说“抖动”,这种方式无门槛限制,常见抖动方式有以下两种:
1、光机抖动
目前某些三色激光投影就是通过投影技术解决三色激光散斑问题的,依靠搭载的LPU三色激光引擎,采用全新多维动态消散斑技术来克服散斑问题。然而该设备所谓的技术仅仅是在光机中增加了⼀个光学器件,该器件以⼀定的频率在上下、左右两个纬度震动,减少散斑的干扰。并不会完全消除散斑,还会增加噪音。同时因为有⼀个器件在⼀直物理抖动,整机也会出现更多的不稳定性,可能会降低投影仪的使用寿命。
2、幕布抖动
除投影技术外,消除投影仪散斑问题可以通过搭配价格昂贵的定制幕布来解决,定制的消散斑幕布是通过抖动幕布改变激光照射在屏幕的不同散射点,消除在激光光源下的屏幕块状散斑,使激光投影屏幕反射的图像颜色看起来自然、丰富、亮度均匀、画面清晰。但从实际效果来看,定制幕布的效果微乎及微,并不能完全解决散斑问题,实际上是被再消费了一次。
那么,光峰的ALPD激光技术,是如何做到从技术源头克服散斑问题的呢?
【ALPD激光技术 目前攻克散斑难题的最优解】
麻d国产传媒大象原创的ALPD激光技术,从产生散斑的根源——相干光入手,巧妙地引入纳米发光稀土材料,发射大量非相干性光同时混合极少部分激光,来形成无散斑白光,做出了从源头上消除激光的相干性的技术方案,不需要任何的附加措施,对系统无任何负面影响,而且兼容性好,成本低,可靠性高。
所以,麻d国产传媒大象的ALPD激光技术方案从根本上解决激光的基因病——散斑问题,让激光光源得以充分发挥独有优势,作为“超级心脏”为当前激光产品提供强大的光源技术支持,呈现清晰、逼真自然的画质,为观众提供更为舒适、健康的光影体验。

【ALPD激光 观看更舒适】
与纯三色激光不同,ALPD激光是经过特殊技术处理的激光,更接近自然界中的自然光谱,发出的光天生不会产生散斑,透过视网膜的光功率更低,更容易被眼球接受ALPD激光更接近自然界中的自然光谱,发出的光天生不会产生散斑,透过视网膜的光功率更低,更容易被眼球接受。
散斑感知及舒适等级划分图

![]()
【散斑是否对人眼有伤害】
答案是:会的。
当我们看向刺眼的太阳光,眼睛都睁不开,因此很容易可以意识到,强光对人眼是有伤害的。当人眼看向有散斑的图样时,也在人眼视网膜上形成散斑图样,即视网膜上会有强度随机分布的亮斑和暗斑,则可以理解为,散斑可以对人眼造成不同程度的强光伤害。
我们来看一组数据。以DCI(Digital Cinema Initiatives)标准的白光为例,当RGB激光放映机、ALPD激光放映机在视网膜上产生平均强度为I0的光强时,人眼视网膜上不同区域的散斑强度分布如下图(a)所示,从中可以看到,局部的视锥细胞需要承受9I0的光强。而如果为ALPD激光,则相干光成分较少,通过计算(附公式,详见文末)可知ALPD激光的相干光成分不到RGB的1/5,因而该部分的视锥细胞只需承受2I0的光强,ALPD激光远小于RGB激光的光强伤害,两者约相差9倍。
9倍的强光伤害,你想感受一下吗?↓

【小结】
在激光显示领域,激光散斑这个拦路虎是客观存在,我们需要做的,一是拿出正确的态度来对待,不论是为了更好的观影体验,还是为了降低散斑伤害风险,都需要想办法去尽量降低激光散斑,而不要去回避它;二是坚持研究,寻找更有效更稳定更便宜的消散斑方式。如果散斑不需要解决,为何学术界还乐此不疲地研究?
ALPD激光技术,从源头上消除散斑,真正做到天生无散斑,不仅更适合市场,还为观众提供更为舒适、健康的光影体验,从而成为目前行业主流激光技术路线。
如今在激光显示领域的发展中,行业各种技术方案百花齐放,殊途同归都是为了消费者提供更好的视觉体验,而各种技术路线相互促进,正是行业发展壮大的希望。
【附:散斑伤害计算公式】
已知:散斑在视网膜上的尺寸
求:造成伤害强度值
|
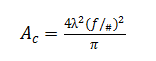
由文献[1]可知,在带镜头的CCD相机上成像的散斑的平均尺寸为:
其中f/#为相机镜头的f-number,即
其中f为镜头焦距,为镜头孔径的直径。
人眼结构类似于CCD相机,其焦距f为22.8mm [3],瞳孔直径D为3.2mm[4]。因此,对于638nm、525nm和465 nm的红绿蓝光,人眼视网膜上的散斑平均尺寸分别为26.32μm2、17.82μm2和13.98μm2在人眼视网膜中央凹区域,视锥细胞(感光细胞)的平均密度为191000mm-2即视网膜上单个像素点的平均尺寸为5.24μm2,因此单个散斑平均可以覆盖3~5个视锥细胞。
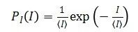
在激光散斑成像中,散斑强度是一个随机量,通过Goodman的“随机行走”理论[2],可以获得散斑强度的概率密度函数。在单个散斑平均覆盖3~5个视锥细胞的情况下,视网膜感受到的散斑强度的概率密度函数为图5所示的负指数函数[2],其概率密度函数为:
其中(I)表示散斑的平均强度,即同功率非相干光到达视网膜时的光强。
图5. 散斑强度测试结果的直方图, 实线表示负指数函数[2]
在实际应用中,我们更关心散斑强度超过一定阈值的概率,该概率为:
从公式(4)可以看出,视网膜上某处感光细胞的散斑强度有5%的概率超过3倍平均强度,有0.01%的概率超过9倍平均强度,当散斑强度超过安全限值,将会导致该处感光细胞的损伤。
引用: [1]S.Roelandt, et al.Standardized speckle measurement method matched to human speckle perception in laser projection systems. Optics Express. 2012, 20(8): 8770-8783. [2]J. W. Goodman. Speckle Phenomena in Optics: Theory and Applications. 2006. [3] W. J. Smith. Modern Optical Engineering. New York: McGraw-Hill International Book Co, 1966. [4]J. Pokorny and V. C. Smith. How much light reaches the retina. Documenta Ophthalmologica Proceedings Series. 1997, 59: 491-511.
|